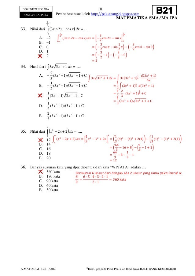
Banyak Susunan Kata Yang Dapat Dibentuk Dari Kata Wiyata Adalah Permutasi Dengan Unsur Nama. Banyak susunan kata yang dapat dibentuk dari kata wiyata. Ulasan tentang banyak susunan kata yang dapat dibentuk dari kata wiyata.

P n 1. Peluang dan kombinatorik menentukan permutasi dari himpunan dengan anggota berulang kata matematika terdiri atas n 10 huruf namun ada huruf kembar m ada 2 n1 2 a ada 3 n2 3 t ada 2 n3 2 sehingga. Permutasi dengan elemen yang identik.
Soal tentang permutasi un 2013 dari angka 3 5 6 7 dan 9 akan dibuat bilangan yang terdiri atas tiga angka yang berbeda.
Berapa banyak susunan huruf berbeda yang dapat dibentuk dari kata matematikawan. Play this game to review mathematics. 8 muncul 3 kali 0 muncul 3 kali 1 muncul 2 kali 7 muncul 2 kali. 3 2 1 60 susunan permutasi siklis permutasi dari n unsur yang disusun melingkar adalah.